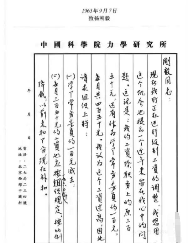
钱学森于1963年9月7日写给杨刚毅(时任中国科学院力学研究所党组书记)的减薪信。 钱学森当时月工资为450元,其中职务工资350元,中科院学部常务委员津贴100元。他认为工资过高,请求组织先取消100元的学部委员津贴。 1963年,中国城镇职工平均月薪50元,钱学森450元的工资属于顶级水平,甚至与当时国家级元帅薪资相当。这是钱学森三次主动降薪中的一次。此外,他还将《工程控制论》一万元奖金、何梁何利基金100万港元奖金悉数捐献。

钱学森于1963年9月7日写给杨刚毅(时任中国科学院力学研究所党组书记)的减薪信。 钱学森当时月工资为450元,其中职务工资350元,中科院学部常务委员津贴100元。他认为工资过高,请求组织先取消100元的学部委员津贴。 1963年,中国城镇职工平均月薪50元,钱学森450元的工资属于顶级水平,甚至与当时国家级元帅薪资相当。这是钱学森三次主动降薪中的一次。此外,他还将《工程控制论》一万元奖金、何梁何利基金100万港元奖金悉数捐献。

猜你喜欢
【6评论】【15点赞】
【2评论】【12点赞】
【4评论】【11点赞】
【48评论】【69点赞】
作者最新文章
热门分类