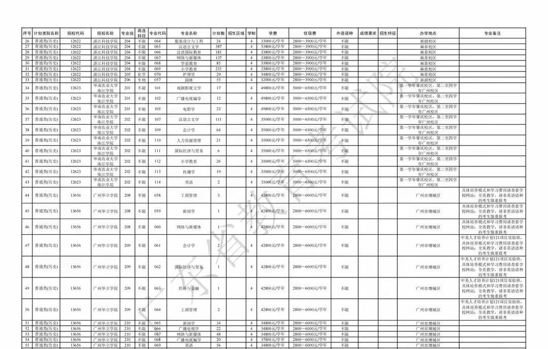
又降了15分!此前已经降了15分。广东本科第2次补录计划公布!物理411历史43

雪絮纷飞寒冬 2025-07-28 16:53:15

又降了15分!此前已经降了15分。广东本科第2次补录计划公布!物理411历史439可报! 据报道,就是在这种情况下,一些院校还是招不满。 一是专业冷门,二是学费太贵,三是路途太远。 免责声明:文章的描述过程、图片均来源于网络,此文旨在倡导社会正能量,不存在低俗等不良引导。如涉及版权或者人物侵权问题,请及时联系@英雄拒绝黄昏 @英雄拒绝黄昏之廖志伟 ,我们将第一时间删除内容!如有事件存疑部分,联系后会即刻删除或修改。 #广东录取分数# #广东志愿填报# #广东高考志愿# #广东出省上大学#

0 阅读:3
雪絮纷飞寒冬

雪絮纷飞寒冬

雪絮纷飞寒冬