藏书网
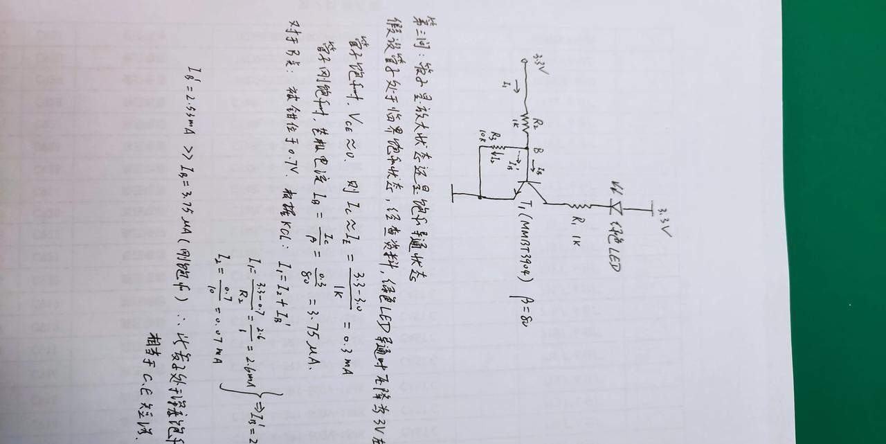
总觉得,管子处于放大状态时,基极电阻要选大一些,因为管子基射之间稍微高于导通电压
暮色安然啊
2025-08-20 11:10:16
总觉得,管子处于放大状态时,基极电阻要选大一些,因为管子基射之间稍微高于导通电压,管子就可能饱和了。
0
阅读:0
暮色安然啊
钟情于生活的诗意,寻觅世间的美好
作者最新文章
1
没想到朝鲜也一跃成为有盾舰的国家了。可见技术这个东西,你没掌握它时,觉得它高不可
2
052D驱逐舰,中国人自己设计建造,南北两大船厂轮番生产,估计要建造35艘左右。
3
至少十多年前的画面了。国产051型驱逐舰和当时最新锐的052D驱逐舰一同训练。
4
美国多次在我核心海域挑战我主权,目的就是一个:不承认我方领海主张。 看来,南海问
5
两款伯克级SPY雷达,右边的性能远高于左侧的。老美也不傻,不能眼睁睁看着中国超过
6
颠覆传统,无人潜艇将和有人潜艇一起主宰海底世界。 英国皇家海军在位于澳大利亚的一
7
太快了!人口出生率的下降对教育行业的打击迫在眉睫,由于适龄儿童的大幅减少,幼儿园
8
054A改进版还在建造。主桅杆那具“顶板”三坐标雷达有些年头了,应该是它的性能很
9
双普会面的地点位于阿拉斯加州的门埃尔多夫联合空军基地,这里有美空军F22中队。
10
土耳其护卫舰发射舰空导弹,准确击中无人靶机。 近些年来,土耳其在战斗机、护卫舰甚
热门分类
推荐
热榜
军事
NBA
体育
社会
明星八卦
娱乐
财经
科技
汽车
历史
国际
游戏
动漫
公益
搞笑
商业
互联网
数码
国际足球
房产
家居
时尚
科学探索
职场
育儿
股票
教育
影视
情感
热点
中国军情
武器
中国南海
中国足球
亚洲杯
科比
综合体育
CBA
投资
大咖秀
外汇
创业
风口
SUV
豪车
概念车
优惠
新能源
美国
欧洲
朝日韩
俄罗斯
孕期
街拍
婚姻
正能量
国际
TOP
1
东莞封装厂断供,不到48小时,荷兰发来请求,希望中方解除制裁中国和荷兰这场半
2
一抬头,三个比亚迪海豚,这还是在机场里。比亚迪在欧洲现在起猛了。
3
安世中国正常运营,而位于荷兰的安世半导体则是焦头烂额。荷兰怎么样也没有想到,自己
4
中方这一波又稳了! 安世中国已经正式给欧洲客户发了通知,说要恢复芯片供应了
5
快讯!快讯!俄罗斯和乌克兰正式宣布了10月22日,俄罗斯国防部通报显示,其过
6
美国:禁发动机大国:禁稀土美国:禁芯片大国:禁稀土美国:禁EDA大国:禁稀土美国
7
当樊振东和欧美人站在一起,竟然是樊振东比较白。
8
中国人太多,日本国土太小,根本装不下![呲牙笑]
9
一觉醒来,中美贸易战天塌了不是因为吉隆坡谈判谈崩了,也不是因为美国加征155
10
扎心了!俄罗斯小哥发视频,奉劝那些想去俄罗斯找老婆的中国男子:醒醒吧!很多在
国际
最新文章
1
中方这一波又稳了! 安世中国已经正式给欧洲客户发了通知,说要恢复芯片供应了
2
一觉醒来,中美贸易战天塌了不是因为吉隆坡谈判谈崩了,也不是因为美国加征155
3
刚刚传来的消息俄罗斯总统正式宣布了2025年10月26日,俄罗斯总统普京宣布
4
快迅,快迅!柬泰两国同时宣布10月26日,泰国总理阿努廷和柬埔寨首相洪玛奈
5
人家美国想方设法打压、制裁我们中国,特朗普甚至喊出,要禁止关键软件向我国出口,但
6
吓一大跳!欧盟要拿对付俄罗斯那一套对付中方?欧盟主席冯德莱恩在柏林对话中表示
7
德国媒体10月21日报道:“闻泰收购安世后,未押注荷兰,而是派专家拆解产
8
快讯!快讯!美国正式宣布了2025年10月26日,美国总统特朗普已启程访
9
库尼亚也开张了,不错,不错!这哥们上半场防守态度太好,超出预期的积极性啊👍
10
美国下最后通牒:限中国10天取消稀土限制,王毅四字回应震撼全球,中方冷静反制彰显