藏书网

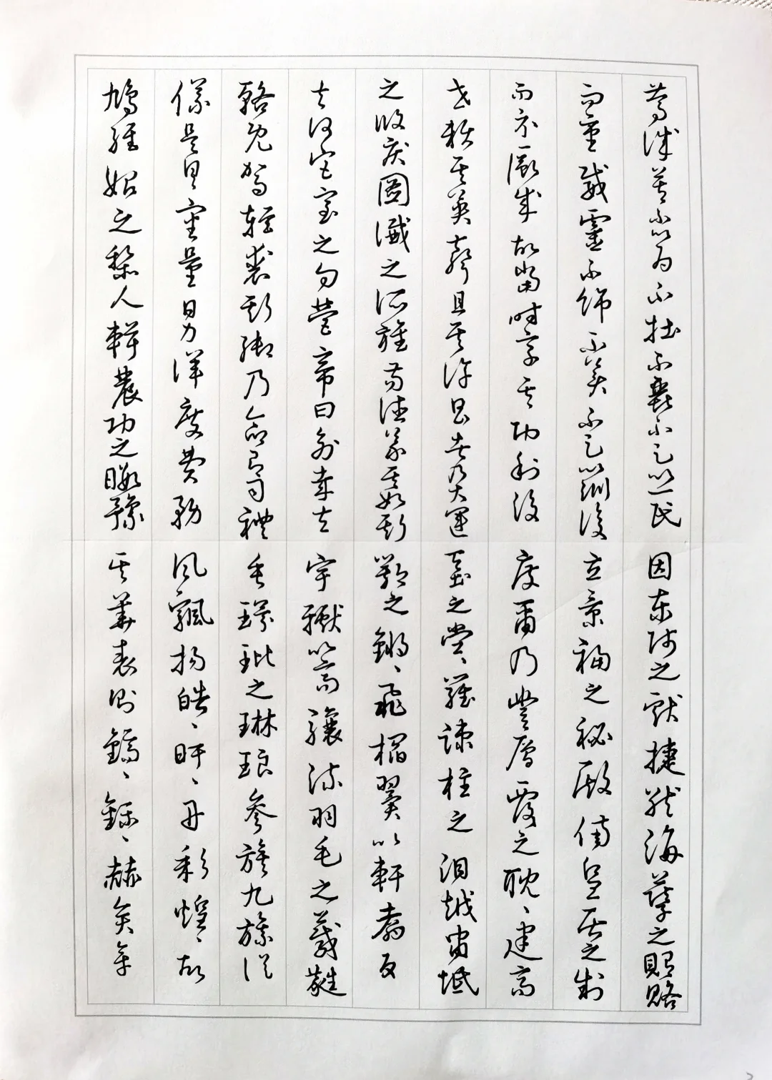
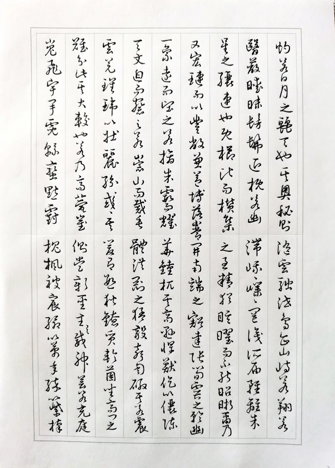
硬笔草书临孙过庭《景福殿记》

云徽堂玩字画 2025-10-25 15:11:56
未完,持续更新中... 专注于学生及成人硬笔书法及规范字教学。 青岛市区可-对-辅导。

0 阅读:6

猜你喜欢

我该怎么解释

我该怎么解释

【1评论】

送男孩的小外卖 2025-10-25

60年代,诗吉丽王后和陈诚的夫人谭祥,一张罕见的合影,照片中两人并肩而立,诗吉丽

60年代,诗吉丽王后和陈诚的夫人谭祥,一张罕见的合影,照片中两人并肩而立,诗吉丽

【1评论】

普密蓬 陈诚
三秦青年人 2025-10-25

​​​

​​​

TACAT橘猫量贩 2025-10-25

🇦🇺SydneyObservatory🔭​​​

🇦🇺SydneyObservatory🔭​​​

【2点赞】

Sraint- 2025-10-25

这幅是真迹吗

这幅是真迹吗

【2评论】

梵高
代驾女神经 2025-10-25

美图欣赏,看图写诗《黑纱魅影》林间幽径现芳踪,黑纱凝韵味千重。一眸

美图欣赏,看图写诗《黑纱魅影》林间幽径现芳踪,黑纱凝韵味千重。一眸

【2评论】【154点赞】

黑纱魅影
驿站 2025-10-25

菅井友香 yuukastagram​​​

菅井友香 yuukastagram​​​

西川美和
暁Mizuki 2025-10-26

能认识这两个行草的我佩服了!这两个字笔锋有力,草法规范,结构优雅,韵味不浅!您

能认识这两个行草的我佩服了!这两个字笔锋有力,草法规范,结构优雅,韵味不浅!您

【2评论】【4点赞】

墨韵 2025-10-26
云徽堂玩字画

云徽堂玩字画

感谢大家的关注

作者最新文章

1
硬笔手抄钱钟书经典小说《围城》(三)
2
硬笔摘抄田英章《楷书要论》之-临帖的困难
3
书法练字的捷径秘诀之《临帖的必要性》
4
硬笔行楷散文摘抄《冬日絮语暖阳送温》
5
当今最常见的几种楷体,哪个最耐看?
6
硬笔小楷手抄古代书论《笔意赞》
7
硬笔行书手抄散文《迎冬绽放的异木棉》
8
硬笔楷书古文名篇《醉翁亭记》|欧阳修
9
闲录书法论文一篇《笔论》|蔡邕
10
硬笔楷书手抄《孙子兵法》之谋攻篇

热门分类

推荐 热榜 军事 NBA 体育 社会 明星八卦 娱乐 财经 科技 汽车 历史 国际 游戏 动漫 公益 搞笑 商业 互联网 数码 国际足球 房产 家居 时尚 科学探索 职场 育儿 股票 教育 影视 情感 热点 中国军情 武器 中国南海 中国足球 亚洲杯 科比 综合体育 CBA 投资 大咖秀 外汇 创业 风口 SUV 豪车 概念车 优惠 新能源 美国 欧洲 朝日韩 俄罗斯 孕期 街拍 婚姻 正能量

© CopyRight 2010-2025 藏书网(zangshuxian.com)

粤ICP备2023065514号 邮箱:181046773#qq.com

声明:部分文章摘自互联网,如有侵权,麻烦告知删除。