藏书网
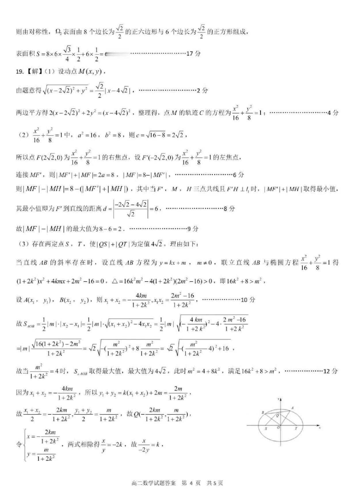
山东省日照高一高二上学期期中考试大题及答案。
桐瑞漫说小姐姐
2025-11-25 22:20:32
山东省日照高一高二上学期期中考试大题及答案。
0
阅读:0
桐瑞漫说小姐姐
感谢大家的关注
作者最新文章
1
这样理发你敢理吗?
2
不要把自己的幸福建立在闺蜜的痛苦之上,拥有一个好闺蜜是幸福的,好好珍惜吧!
3
第一个愿望把我吓得半死,第二个愿望与狐仙共度今生,第三个愿望拥有一盏阿拉丁神灯。
4
下肢明显练的少,大小腿肌肉都不明显,手臂都比大腿粗了,身材整体看着好奇怪,但是俯
5
一步三晃腰摆柳,好吃懒做难拥有,家里家外非好手,生活不易难长久。
6
这身材这颜值,没得说了,可是怎么就伤着腿🦵呢?解手都困难!
7
这小姑娘真牛,骑这么大个摩托车,她是怎么骑上去的!
8
从把椅子的拿走与送来,反应出一个人的素质与修养,换作戾气太重的人估计要吵起来。
9
感觉象AI,仔细看叨玉米时嘴张开太小。 母子情深!血脉相连。 动物都懂得反哺
10
酒壮怂人胆,遇见老虎🐯,竟然敢对峙,老虎惊讶不已。
热门分类
推荐
热榜
军事
NBA
体育
社会
明星八卦
娱乐
财经
科技
汽车
历史
国际
游戏
动漫
公益
搞笑
商业
互联网
数码
国际足球
房产
家居
时尚
科学探索
职场
育儿
股票
教育
影视
情感
热点
中国军情
武器
中国南海
中国足球
亚洲杯
科比
综合体育
CBA
投资
大咖秀
外汇
创业
风口
SUV
豪车
概念车
优惠
新能源
美国
欧洲
朝日韩
俄罗斯
孕期
街拍
婚姻
正能量