藏书网
救火队员朱可夫的文章
犹太防长加兰特宣布,犹太军队在加沙地带北部的高强度战斗阶段已经结束了,在加沙地带
2024-01-19 15:32
历史上的今天,公元1955年1月18日,我军部队对一江山岛发起陆海空联合登陆作战
2024-01-19 00:01
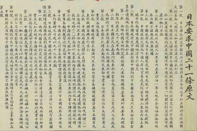
历史上的今天,公元1915年1月18日,日本驻华公使日置益晋见袁世凯,正式向我国
2024-01-18 22:31
我国驻卡拉奇总领事杨云东同志告诉巴基斯坦GEO电视台的记者,我国愿在巴基斯坦与伊
2024-01-18 21:01
聊一下伊朗和巴基斯坦之间的事儿,其实昨天伊朗和巴基斯坦海军正在波斯湾搞联合演习呢
2024-01-18 18:31
图一,我军指战员从侵华日军731部队罪证陈列馆走出。图二,日本自卫队青年军官参拜
2024-01-18 16:01
我国让菲律宾总统马科斯多读几本书,正确理解台海问题的来龙去脉,不要干涉我国内政。
2024-01-18 16:01
阿根廷总统同英国外交大臣进行了会晤,不知道他们有没有谈马岛主权问题?
2024-01-18 02:31
据爆料,克钦独立军在北掸邦库特开镇南帕卡村附近地区击落一架缅甸空军FTC2000
2024-01-17 23:31
一说到蓝军旅,陆军的同志们心里苦啊,啥招都往咱身上使啊!而且武器装备,兵员素质都
2024-01-17 21:31
此次中东战争打到现在,其实犹太军队已经陷在战争的泥潭里拔不出来了,尤其是阿拉伯人
2024-01-17 19:03
面对乌军日益紧张的兵源问题,英国人给乌军指挥官出了一个主意,那就是用强力致幻剂将
2024-01-17 16:31
近期巴基斯坦空军发布的宣传片中出现了,由我国沈阳飞机公司研发制造的FC31隐形战
2024-01-17 15:01
驻日美军士兵在日本开车,然后撞死了两名日本老人,日本的司法当然不敢管美国大兵,所
2024-01-17 01:31
就在刚才又一艘货轮在红海被也门胡赛武装给击中了,这艘货轮的船龄已经有十四年了,目
2024-01-17 01:31
这两天哈尔滨旅游大火,这不光刺激了哈尔滨当地旅游经济的发展,同时也带动了更多的人
2024-01-16 21:00
今天下午,我国南海西沙永兴岛上的气象雷达探测到强烈的大范围回波干扰,根据气象局的
2024-01-16 19:08
昨天菲律宾军事指挥官声称,菲律宾政府打算开发南海的群岛,并且支持菲律宾军队在南海
2024-01-16 17:30
新疆阿勒泰雪崩引发了广泛关注,我军正在喀纳斯机场待命的两架陆航直升机,等天气好转
2024-01-16 16:02
俄军IL22M型指挥机,目前已经安全的返回了机场,不过IL22M型指挥机垂直尾翼
2024-01-16 01:06
第一页
下一页
救火队员朱可夫
古今多少事都付笑谈中!
热门分类
推荐
热榜
军事
NBA
体育
社会
明星八卦
娱乐
财经
科技
汽车
历史
国际
游戏
动漫
公益
搞笑
商业
互联网
数码
国际足球
房产
家居
时尚
科学探索
职场
育儿
股票
教育
影视
情感
热点
中国军情
武器
中国南海
中国足球
亚洲杯
科比
综合体育
CBA
投资
大咖秀
外汇
创业
风口
SUV
豪车
概念车
优惠
新能源
美国
欧洲
朝日韩
俄罗斯
孕期
街拍
婚姻
正能量