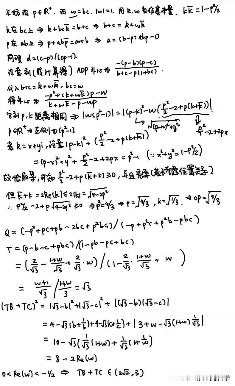
2025年CMO比赛第一天的第二题4种完全不同的解法,真是高手在民间啊! 完全不同的思路,有纯几何解法的, 有代数解法的,有不纯粹几何解法的, 大家来看看哪种解法最简单便捷呢? 这种题才是称的上好题, 可以给广大爱好者可以研究的, 第一题太简单,第三题太难, 大家都谈论的比较少, 传播的价值就比较低。 一年一度数学竞赛还有一个重要社会属性, 就是为广大数学竞赛爱好者提供狂欢舞台, 真正享受比赛的不仅仅是场上的大神, 还有无数数学竞赛爱好者在广泛交流着, 当一个比赛最后比的不是最后的结果, 而是真正享受比赛的过程的时候, 你距离成功又近了一步! 毕竟这辈子能当做爱好的事情又有多少呢?





